Hoạt Chất Dextran 70: Công Dụng, Ứng Dụng và Những Điều Cần Biết
Giới thiệu về hoạt chất Dextran 70
Dextran 70 là một loại polysaccharide cao phân tử được sử dụng rộng rãi trong y học, đặc biệt trong các sản phẩm chăm sóc mắt và điều trị y khoa. Với đặc tính bôi trơn, giữ ẩm, và tạo màng bảo vệ, Dextran 70 thường được tìm thấy trong các loại nước mắt nhân tạo, dung dịch truyền tĩnh mạch, và một số ứng dụng khác. Trong lĩnh vực nhãn khoa, Dextran 70 đóng vai trò quan trọng trong việc giảm các triệu chứng khô mắt, kích ứng, và bảo vệ bề mặt giác mạc.
Bài viết này sẽ cung cấp thông tin chi tiết về hoạt chất Dextran 70, từ cấu trúc hóa học, cơ chế hoạt động, đến các ứng dụng thực tiễn, lợi ích, và những lưu ý khi sử dụng. Với nội dung chuẩn, bài viết sẽ giúp bạn hiểu rõ hơn về Dextran 70 và lý do tại sao nó trở thành một thành phần không thể thiếu trong nhiều sản phẩm y tế.
Dextran 70 là gì?

Dextran 70 là một polysaccharide có cấu trúc phân nhánh, được tổng hợp từ sucrose bởi vi khuẩn Leuconostoc mesenteroides. “70” trong tên gọi của Dextran 70 ám chỉ khối lượng phân tử trung bình của nó, khoảng 70.000 Dalton, thuộc nhóm dextran có trọng lượng phân tử trung bình. Hoạt chất này có đặc tính tan trong nước, độ nhớt cao, và khả năng tạo màng mỏng, giúp nó trở thành một thành phần lý tưởng trong các sản phẩm y tế như nước mắt nhân tạo, dung dịch truyền tĩnh mạch, hoặc chất thay thế huyết tương.
Trong nhãn khoa, Dextran 70 được sử dụng như một chất bôi trơn và dưỡng ẩm, giúp tái tạo lớp màng nhầy trên bề mặt mắt, giảm triệu chứng khô mắt, và bảo vệ giác mạc khỏi các tác nhân gây hại như bụi, gió, hoặc ánh sáng xanh. Ngoài ra, Dextran 70 còn được ứng dụng trong các lĩnh vực khác như điều trị sốc giảm thể tích hoặc hỗ trợ phẫu thuật.
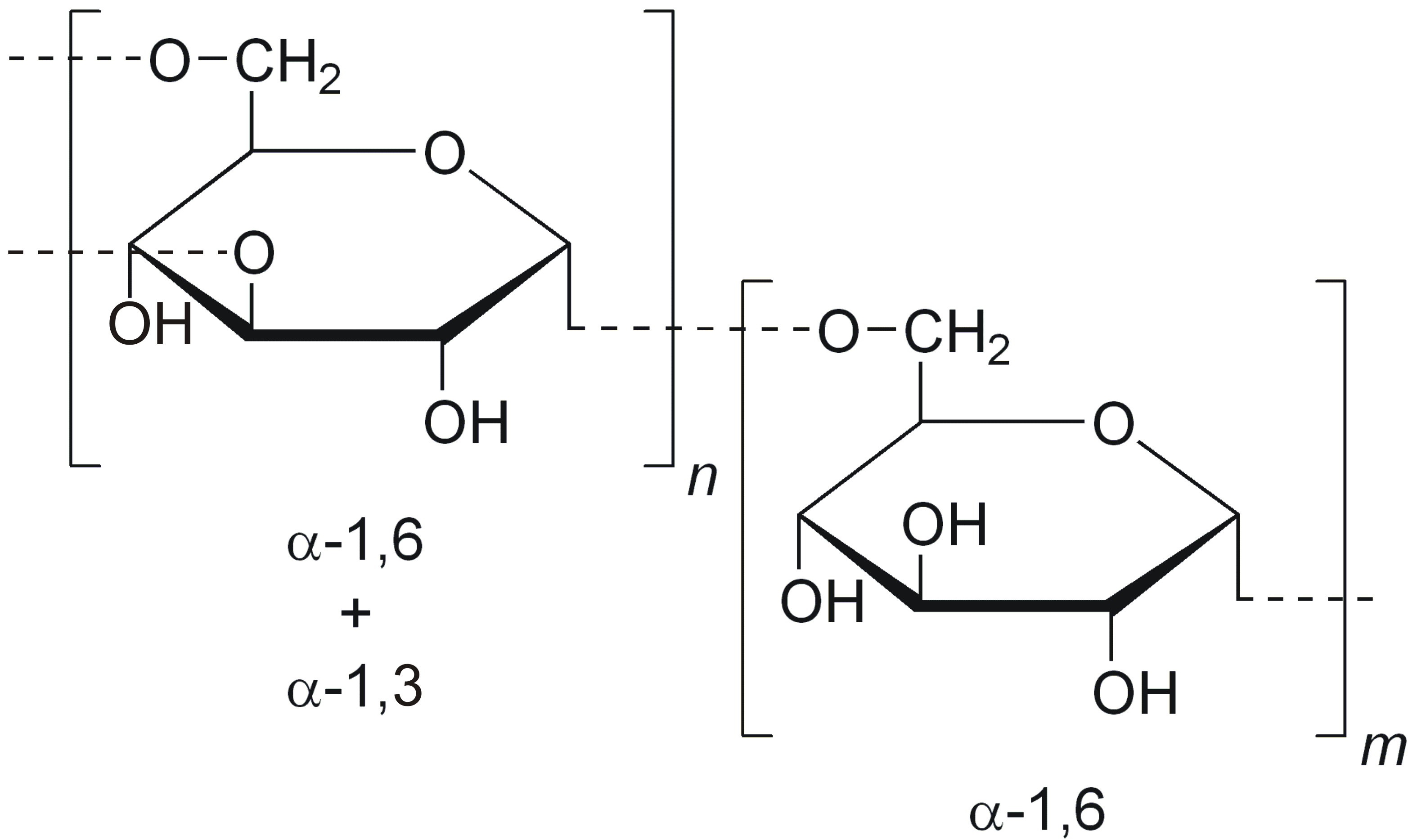
Cấu trúc hóa học của Dextran 70
Dextran 70 là một polymer của D-glucose, liên kết chủ yếu qua liên kết glycosidic α-1,6, với một số nhánh liên kết α-1,3. Cấu trúc này mang lại cho Dextran 70 các đặc tính sau:
- Độ nhớt cao: Giúp tạo lớp màng mỏng, bám dính tốt trên bề mặt giác mạc hoặc trong các dung dịch y tế.
- Tính tan trong nước: Dễ dàng hòa tan trong môi trường nước, phù hợp để sử dụng trong các dung dịch nhỏ mắt hoặc truyền tĩnh mạch.
- Tính tương thích sinh học: Không gây phản ứng miễn dịch mạnh, an toàn khi sử dụng trong cơ thể người.
Do không thấm qua giác mạc hoặc vào hệ tuần hoàn khi sử dụng tại chỗ, Dextran 70 được coi là an toàn trong các sản phẩm nhãn khoa.
Công dụng của Dextran 70 trong y học
Dextran 70 có nhiều ứng dụng quan trọng trong y học, đặc biệt trong hai lĩnh vực chính: nhãn khoa và điều trị toàn thân. Dưới đây là các công dụng cụ thể:
1. Trong nhãn khoa
Dextran 70 là thành phần phổ biến trong các loại nước mắt nhân tạo, ví dụ như thuốc nhỏ mắt Blueye 15ml hoặc Tears Naturale II. Công dụng chính của Dextran 70 trong nhãn khoa bao gồm:
- Giảm triệu chứng khô mắt: Dextran 70 giúp bôi trơn và dưỡng ẩm bề mặt mắt, làm dịu các triệu chứng như khô, cay, xốn, ngứa, hoặc cảm giác cộm như có dị vật.
- Bảo vệ giác mạc: Tạo một lớp màng mỏng trên bề mặt mắt, bảo vệ giác mạc khỏi các tác nhân gây kích ứng như bụi, khói, hoặc gió.
- Hỗ trợ người đeo kính áp tròng: Giảm cảm giác khó chịu khi đeo kính áp tròng, giúp mắt thoải mái hơn trong thời gian dài.
- Rửa trôi dị vật: Hỗ trợ loại bỏ các dị vật nhỏ như cát, bụi, hoặc phấn hoa bám vào mắt.
2. Trong điều trị toàn thân
Ngoài nhãn khoa, Dextran 70 còn được sử dụng trong các dung dịch truyền tĩnh mạch với các mục đích sau:
- Thay thế huyết tương: Dextran 70 được dùng trong các trường hợp sốc giảm thể tích (do mất máu hoặc mất nước nghiêm trọng), giúp duy trì thể tích tuần hoàn và áp lực máu.
- Ngăn ngừa huyết khối: Dextran 70 có khả năng giảm độ nhớt của máu, ngăn ngừa hình thành cục máu đông, đặc biệt trong các ca phẫu thuật hoặc điều trị huyết khối tĩnh mạch sâu.
- Hỗ trợ trong phẫu thuật: Được sử dụng trong một số quy trình phẫu thuật để duy trì tuần hoàn và cải thiện lưu lượng máu.
3. Các ứng dụng khác
- Dược phẩm: Dextran 70 được dùng làm tá dược trong một số loại thuốc, giúp tăng độ ổn định và hiệu quả của sản phẩm.
- Nghiên cứu y học: Được sử dụng trong các nghiên cứu về tuần hoàn máu, vận chuyển thuốc, hoặc phát triển vật liệu sinh học.
Cơ chế hoạt động của Dextran 70
Trong nhãn khoa
Khi sử dụng trong các sản phẩm nước mắt nhân tạo, Dextran 70 hoạt động như sau:
- Tạo màng bảo vệ: Dextran 70 hình thành một lớp màng mỏng trên bề mặt giác mạc, giúp giữ ẩm và ngăn ngừa sự bay hơi của nước mắt tự nhiên.
- Bôi trơn: Độ nhớt của Dextran 70 giúp giảm ma sát giữa mí mắt và giác mạc, mang lại cảm giác dễ chịu khi chớp mắt.
- Ổn định lớp màng nước mắt: Dextran 70 tăng cường độ bám dính của nước mắt trên bề mặt mắt, kéo dài thời gian làm ẩm và bảo vệ.
Do không thấm qua giác mạc, Dextran 70 chỉ hoạt động tại chỗ, không gây hấp thu toàn thân, đảm bảo an toàn khi sử dụng lâu dài.
Trong truyền tĩnh mạch
Khi sử dụng trong dung dịch truyền, Dextran 70 hoạt động như một chất keo (colloid) để:
- Tăng thể tích huyết tương bằng cách giữ nước trong lòng mạch.
- Giảm độ nhớt của máu, cải thiện lưu lượng tuần hoàn.
- Ngăn ngừa sự kết tụ của hồng cầu, giảm nguy cơ hình thành huyết khối.
Đối tượng sử dụng Dextran 70
Dextran 70 được sử dụng trong các sản phẩm phù hợp với nhiều đối tượng, bao gồm:
- Người bị khô mắt: Những người gặp tình trạng khô mắt do làm việc lâu với máy tính, tiếp xúc với ánh sáng xanh, hoặc sống trong môi trường khô hanh, ô nhiễm.
- Người đeo kính áp tròng: Giúp giảm kích ứng và khô mắt khi sử dụng kính áp tròng.
- Người cao tuổi: Thường gặp tình trạng khô mắt do giảm tiết nước mắt tự nhiên.
- Bệnh nhân cần truyền tĩnh mạch: Những người bị sốc giảm thể tích, mất máu, hoặc cần hỗ trợ tuần hoàn trong phẫu thuật.
- Người có nguy cơ huyết khối: Dextran 70 được sử dụng để ngăn ngừa huyết khối tĩnh mạch sâu hoặc các biến chứng liên quan đến tuần hoàn.
Hướng dẫn sử dụng sản phẩm chứa Dextran 70
Trong nhãn khoa
Các sản phẩm nước mắt nhân tạo chứa Dextran 70, như Blueye 15ml, thường được sử dụng theo cách sau:
- Liều lượng: Nhỏ 1-2 giọt vào mỗi bên mắt khi có triệu chứng khô hoặc kích ứng. Số lần nhỏ trong ngày tùy thuộc vào mức độ triệu chứng, thường từ 3-6 lần/ngày.
- Cách sử dụng:
- Rửa tay sạch trước khi nhỏ thuốc.
- Lắc nhẹ lọ thuốc để đảm bảo dung dịch đồng nhất.
- Nghiêng đầu ra sau, kéo nhẹ mí mắt dưới để tạo túi kết mạc.
- Nhỏ 1-2 giọt vào túi kết mạc, tránh để đầu lọ chạm vào mắt.
- Nhắm mắt nhẹ nhàng trong 1-2 phút để thuốc phân bố đều.
- Lau sạch thuốc thừa quanh mắt bằng khăn sạch.
- Lưu ý:
- Không sử dụng nếu dung dịch bị vẩn đục hoặc hết hạn sử dụng.
- Tháo kính áp tròng trước khi nhỏ thuốc và đợi ít nhất 15-30 phút trước khi đeo lại.
- Không dùng chung lọ thuốc với người khác để tránh nhiễm khuẩn.
Trong truyền tĩnh mạch
Việc sử dụng Dextran 70 trong dung dịch truyền tĩnh mạch phải được thực hiện dưới sự giám sát của bác sĩ. Liều lượng và tốc độ truyền phụ thuộc vào tình trạng bệnh nhân, thường được tính dựa trên cân nặng và mức độ mất thể tích.
Chống chỉ định và thận trọng khi sử dụng Dextran 70
Chống chỉ định
- Dị ứng: Không sử dụng Dextran 70 cho những người mẫn cảm với hoạt chất này hoặc các thành phần khác trong sản phẩm.
- Bệnh lý nghiêm trọng: Trong truyền tĩnh mạch, Dextran 70 chống chỉ định ở bệnh nhân suy thận nặng, suy tim sung huyết, hoặc rối loạn đông máu nghiêm trọng.
- Nhãn khoa: Ngừng sử dụng nếu xuất hiện các triệu chứng như đỏ mắt kéo dài, đau mắt, hoặc giảm thị lực sau khi nhỏ thuốc.
Thận trọng
- Phụ nữ mang thai và cho con bú: Mặc dù Dextran 70 an toàn khi sử dụng tại chỗ trong nhãn khoa, cần tham khảo ý kiến bác sĩ trước khi dùng, đặc biệt trong các sản phẩm truyền tĩnh mạch.
- Tương tác thuốc: Dextran 70 có thể tương tác với một số thuốc chống đông máu (như heparin) khi sử dụng qua đường truyền tĩnh mạch. Trong nhãn khoa, chưa ghi nhận tương tác đáng kể.
- Tác dụng phụ: Trong nhãn khoa, Dextran 70 hiếm khi gây tác dụng phụ, nhưng có thể xuất hiện mờ mắt tạm thời, kích ứng nhẹ, hoặc gỉ mắt. Trong truyền tĩnh mạch, nguy cơ bao gồm phản ứng dị ứng, rối loạn đông máu, hoặc quá tải tuần hoàn.
Tác dụng phụ của Dextran 70
Trong nhãn khoa
- Mờ mắt tạm thời ngay sau khi nhỏ thuốc.
- Kích ứng nhẹ, ngứa, hoặc gỉ mắt.
- Phản ứng quá mẫn (hiếm gặp), như đỏ mắt hoặc sưng mí mắt.
Trong truyền tĩnh mạch
- Phản ứng dị ứng, như phát ban, ngứa, hoặc khó thở.
- Rối loạn đông máu, đặc biệt ở liều cao.
- Quá tải tuần hoàn, dẫn đến phù hoặc tăng huyết áp.
Nếu gặp bất kỳ tác dụng phụ nào kéo dài hoặc nghiêm trọng, hãy ngừng sử dụng và tham khảo ý kiến bác sĩ ngay lập tức.
Bảo quản sản phẩm chứa Dextran 70
- Nhãn khoa:
- Bảo quản ở nhiệt độ dưới 30°C, tránh ánh sáng trực tiếp.
- Sau khi mở nắp, sử dụng trong vòng 30 ngày và vứt bỏ nếu dung dịch bị vẩn đục.
- Truyền tĩnh mạch:
- Bảo quản ở nơi khô ráo, thoáng mát, tránh đông lạnh.
- Kiểm tra kỹ bao bì trước khi sử dụng để đảm bảo vô trùng.
Các sản phẩm chứa Dextran 70 phổ biến
Một số sản phẩm nổi bật chứa Dextran 70 bao gồm:
- Blueye 15ml: Nước mắt nhân tạo với Dextran 70 và Hypromellose, dùng để giảm khô mắt và kích ứng.
- Tears Naturale II: Kết hợp Dextran 70 và Hypromellose, phù hợp cho người bị khô mắt nhẹ đến trung bình.
- Dextran 70 6% trong dung dịch truyền: Dùng trong điều trị sốc giảm thể tích hoặc ngăn ngừa huyết khối.
Giá của các sản phẩm chứa Dextran 70 dao động tùy thuộc vào loại sản phẩm và nhà cung cấp. Ví dụ, Blueye 15ml có giá từ 65.000 đến 105.000 VNĐ, trong khi dung dịch truyền Dextran 70 có giá cao hơn, tùy thuộc vào cơ sở y tế.
Lợi ích của Dextran 70 so với các hoạt chất khác
So với các hoạt chất khác trong nước mắt nhân tạo như Polyethylene Glycol (PEG) hoặc Carboxymethylcellulose (CMC), Dextran 70 có một số ưu điểm:
- Độ nhớt cao: Tạo lớp màng bảo vệ lâu dài hơn trên bề mặt mắt.
- Tính tương thích sinh học: Ít gây kích ứng, phù hợp với người có mắt nhạy cảm.
- Hiệu quả trong môi trường khắc nghiệt: Phù hợp cho người sống trong môi trường khô, bụi, hoặc ô nhiễm.
Tuy nhiên, hiệu quả của Dextran 70 có thể phụ thuộc vào công thức của sản phẩm và tình trạng mắt của người dùng. Trong một số trường hợp, sự kết hợp với các hoạt chất khác như Hypromellose có thể mang lại hiệu quả tối ưu.
Lời khuyên khi sử dụng Dextran 70
Để tối ưu hóa lợi ích của Dextran 70, hãy lưu ý:
- Sử dụng đúng liều lượng và hướng dẫn của bác sĩ hoặc dược sĩ.
- Kiểm tra hạn sử dụng và tình trạng dung dịch trước khi dùng.
- Kết hợp với các biện pháp bảo vệ mắt như nghỉ ngơi định kỳ, đeo kính chống ánh sáng xanh, và bổ sung thực phẩm giàu vitamin A.
- Tham khảo ý kiến bác sĩ nếu triệu chứng khô mắt kéo dài hoặc trở nặng sau 72 giờ sử dụng.
Kết luận
Dextran 70 là một hoạt chất quan trọng trong y học, đặc biệt trong lĩnh vực nhãn khoa và điều trị toàn thân. Với khả năng bôi trơn, dưỡng ẩm, và bảo vệ giác mạc, Dextran 70 là thành phần không thể thiếu trong các sản phẩm nước mắt nhân tạo như Blueye 15ml. Ngoài ra, vai trò của nó trong dung dịch truyền tĩnh mạch giúp hỗ trợ điều trị sốc giảm thể tích và ngăn ngừa huyết khối.
Sử dụng sản phẩm chứa Dextran 70 đúng cách, kết hợp với các biện pháp chăm sóc sức khỏe mắt, sẽ giúp bạn duy trì đôi mắt khỏe mạnh và cải thiện chất lượng cuộc sống. Nếu bạn đang tìm kiếm một giải pháp an toàn và hiệu quả cho khô mắt hoặc các vấn đề tuần hoàn, Dextran 70 chắc chắn là một lựa chọn đáng cân nhắc.
Lưu ý: Thông tin trong bài viết chỉ mang tính chất tham khảo. Hãy tham khảo ý kiến bác sĩ hoặc dược sĩ trước khi sử dụng các sản phẩm chứa Dextran 70 để đảm bảo an toàn và hiệu quả.